The Dictionary Of Photography

A True Historic Record Of The Art & Practice Of Photography 100 Years Ago.

Home | About | Photography | Contact






Fixed Focus
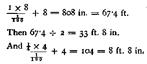
Then Takingof an inch as the permissible error, we have worked out from Mr. Cheyney's rule the following table, which may be useful: -
Point Beyond «which All Objects will be in Focus.
We may also give Miethe's table of fixed foci: -